Ngày hôm nay, Hải Thu sẽ cung cấp cho quý vị một số thông tin để hiểu rõ hơn về ngành cấp thoát nước, đặc biệt là các hệ thống cấp nước trong ngành.
Định nghĩa
Hệ thống cấp nước (viết tắt: HTCN) là tập hợp các công trình kỹ thuật để thu, xử lý, dự trữ, điều hòa, vận chuyển và phân phối nước đến các đối tượng sử dụng.
Phân loại
Có rất nhiều cách phân loại các HTCN, có thể kể ra một số loại hình HTCN như sau:
- Theo đối tượng sử dụng: HTCN đô thị, công nghiệp, nông nghiệp...
- Theo mục đích sử dụng: HTCN sinh hoạt, sản xuất, chữa cháy...
- Theo phương pháp sử dụng: HTCN trực tiếp, tuần hoàn...
- Theo loại nguồn nước: HTCN mặt, ngầm...
- Theo nguyên tắc làm việc của hệ thống: HTCN có áp, không áp...
- Theo phương pháp chữa cháy: HTCN chữa cháy áp lực cao, áp lực thấp...
- Theo phạm vi cấp nước: HTCN bên trong nhà, ngoài nhà...
*Việc phân loại chỉ mang tính chất minh họa, bởi các HTCN này có thể đan xen nhau, trong cái này có cái kia, hoặc ngược lại.
Ví dụ: đối với các khu sinh hoạt và dân cư, HTCN sinh hoạt và chữa cháy thường được kết hợp làm một
Các hệ thống và sơ đồ hệ thống cấp nước
I. HTCN cho sinh hoạt đô thị
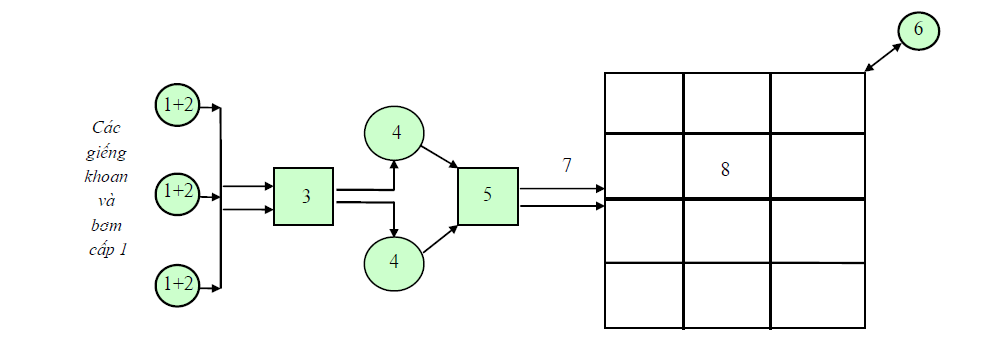
Ký hiệu và chức năng của các công trình
1. Công trình thu nước: dùng để thu nước nguồn từ hồ, sông, nước ngầm...
2. Trạm bơm cấp 1: dùng để bơm nước từ công trình thu lên công trình xử lý
3. Trạm xử lý: dùng để làm sạch nước cấp
4. Các bể chứa nước sạch: dùng để chứa nước đã làm sạch, dự trữ nước chữa cháy và điều hòa áp lực giữa các trạm xử lý (trạm bơm 1 và 2)
5. Trạm bơm cấp 2: dùng để bơm nước từ bể chứa nước sạch lên đài hoặc vào mạng phân phối cung cấp cho các đối tượng sử dụng
6. Đài nước: dùng để dự trữ nước, điều hòa áp lực cho mạng giữa các giờ dùng nước khác nhau
7. Đường ống truyền tải: dùng để vận chuyển nước từ trạm bơm cấp 2 đến điểm đầu tiên của mạng lưới phân phối nước
8. Mạng lưới phân phối nước: dùng để vận chuyển và phân phối nước trực tiếp đến các đối tượng sử dụng
a) Phương án sử dụng nước mặt

b) Phương án sử dụng nước ngầm

c) Phương án sử dụng nhiều nguồn nước khác nhau để cấp nước cho các thành phố lớn

Tùy vào các yêu cầu về chất lượng nước, các chỉ tiêu kỹ thuật và tùy theo các điều kiện tự nhiên ở từng khu vực khác nhau, người ta có thể tổ hợp các công trình thu nước thành một khối. Hơn nữa, cũng có thể bớt một số công trình, ví dụ: bỏ bớt trạm bơm 2 và trạm xử lý nếu tìm được một nguồn nước tốt, cấp thẳng cho đối tượng sử dụng mà không cần xử lý
Trích dẫn: Nguyễn Đình Huấn, "Giáo trình cấp thoát nước", Nhà Xuất Bản Đà Nẵng, trang 4-6
Hải Thu.